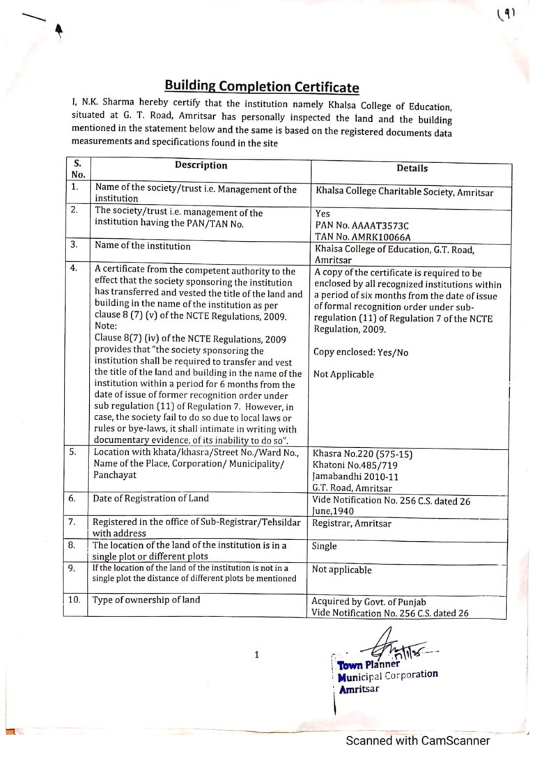
LAND DOCUMENTS Certificate of Disable friendly campus Building completion certificate Building completion certificate Building completion certificate Building Safety Certificate Classification Certificate Registered Land Documents Registered Land Documents Registered Land Documents Registered Land Documents Registered Land Documents Registered Land Documents Registered Land Documents Registered Land Documents Sajra Plan Sajra Plan Fire Safety Mutation Certificate Mutation Certificate Mutation Certificate Mutation Certificate Non Encumbrance certificate